- Santé
L’étude sud-coréenne sur plusieurs millions de personnes ne démontre pas que le vaccin anti-COVID cause le cancer
À retenir
- Une étude sud-coréenne portant sur plusieurs millions de personnes suggère une relation entre vaccination contre le COVID et un risque accru de cancers (en comparaison avec les personnes non-vaccinées).
- Du fait de plusieurs biais méthodologiques, l’étude coréenne ne permet pas de conclure à une relation de causalité entre vaccination anti-COVID et cancer. Il faudrait plusieurs études de ce type bien menées pour arriver à une éventuelle conclusion.
- Des recherches sont menées pour déterminer le rôle du virus et des vaccins dans certains mécanismes qui pourraient favoriser le cancer, mais aucun lien de cause à effet entre cancer et vaccin anti-COVID n’a été établi à ce jour.
- La vaccination contre le COVID-19 reste recommandée notamment pour les personnes fragiles, immunodéprimées ou souffrant de cancers.
Contenu vérifié
Verdict :
Affirmation :
Une étude coréenne montre que la vaccination anti-Covid cause le cancer
Détail du verdict
Infondé :
Les résultats de l’étude sud-coréenne ne permettent pas d’établir de relation de causalité entre vaccin anti-COVID et cancer.
Trompeur :
La figure 1A de l’étude largement diffusée sur les réseaux sociaux montre une association supposée entre la vaccination et certains cancers, pas une relation de cause à effet. De plus, elle repose sur des résultats potentiellement biaisés.
Affirmation complète
Une augmentation des cancers chez les vaccinés (+37%) de plus chez les vaccinés en Corée (…) Les vaccins ADN et ARN sont tous deux en cause.
Vérification
La vaccination anti-COVID cause-t-elle le cancer ? Beaucoup de comptes sur les réseaux sociaux (par exemple ici, ici, et ici), dont certains connus pour propager de la désinformation, se sont fait écho de cette affirmation alors que démarre la campagne automnale de vaccination.
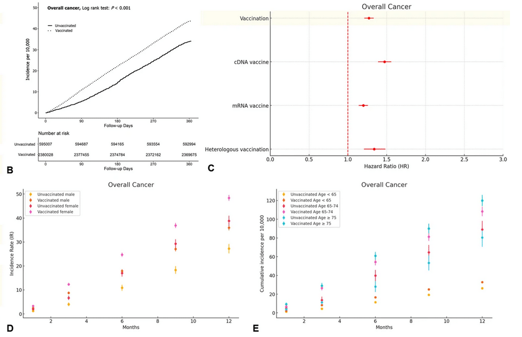
Ils se basent pour cela sur les résultats d’une étude sud-coréenne publiée le 26 septembre 2025, portant sur plusieurs millions de personnes vaccinées ou non contre le COVID-19. Un graphe tiré de l’étude, largement diffusé (voir Figure 1 graphe A plus bas), vient à l’appui de cette prétendue démonstration.
Depuis le début de la vaccination anti-COVID, quantité d’allégations ont désigné la vaccination comme cause du cancer. Elles sont sans fondement, comme Science Feedback l’a souvent démontré.
En réalité, cette nouvelle étude coréenne ne démontre pas davantage de lien de causalité entre vaccin anti-COVID et cancer, ce qui est d’ailleurs dit clairement par les auteurs eux-mêmes dans les documents annexes à cette étude, mais sa mauvaise interprétation peut semer le doute. Par ailleurs, selon l’épidémiologiste que nous avons consulté (lire le Feedback du scientifique) ainsi que d’autres publications d’experts en ligne, l’étude semble comporter de nombreux biais et erreurs d’analyse.
Dans ce qui suit, nous précisons le contexte de cette étude et détaillons les points problématiques, ainsi que les conclusions erronées qui en découlent.
Une étude PUBLIée MAIS AVEC De nombreux biais et problèmes méthodologiques
À noter avant toute chose que l’étude est publiée dans Biomarker Research, qui est une revue scientifique à comité de lecture dont les indicateurs (classement et facteur d’impact) montrent qu’il s’agit d’une publication de qualité, ce que certains posts sur les réseaux sociaux mettent d’ailleurs en avant.
Nous avons contacté Biomarker Research qui nous a indiqué que l’étude avait bien été soumise au processus de “validation par les pairs” (“peer-review) c’est-à-dire à la relecture et à l’examen critique d’un comité de lecture constitué d’autres scientifiques de la même discipline qui ne sont pas impliqués dans les travaux en question.
Cela ne suffit cependant pas toujours à garantir la fiabilité du contenu publié, comme l’a révélé le “LancetGate” pendant la crise du COVID. Nous allons voir ici que plusieurs problèmes n’ont pas été détectés par la peer-review.
L’étude en question s’est déroulée du 1er janvier 2021 au 31 décembre 2023. Les données de santé de 8 ????????407 849 individus, contenues dans la base de données de l’Assurance santé coréenne, ont été examinées.
L’objectif affiché par les auteurs de l’étude est d’explorer la possible capacité des vaccins contre le virus du COVID-19 (SARS-CoV-2) à déclencher différents types de cancers. Le principal critère examiné dans l’étude est le diagnostic d’un cancer à 1, 3, 6, 9 mois et un an après la vaccination.
Il s’agit d’une étude dite de “cohorte rétrospective”, c’est-à-dire l’analyse des données de santé d’un large échantillon de population examiné a posteriori, après la vaccination pour le groupe des personnes vaccinées.
Pour sélectionner les sujets de l’étude en minimisant les facteurs de confusion possibles qui pourraient fausser les résultats, les auteurs prennent en compte plusieurs variables : l’âge, le sexe, le niveau d’assurance (qui traduit le niveau de revenu), les comorbidités (autres maladies qui affectent les sujets), et les antécédents d’infection à la COVID-19. À l’issue de ce processus, 595 007 personnes non-vaccinées et 2 380 028 vaccinés ont été retenues.
La majorité de l’effectif des vaccinés a reçu un vaccin à ARN messager (ARNm) BNT162b2, précise l’étude (vaccin Comirnaty, commercialisé par Pfizer-BioNTech) lors de la première vaccination (67,3%) puis de la deuxième (73,56%). Les autres vaccins administrés sont des “vaccins à ADNc” indique l’étude sans plus de précision (probablement le vaccin AZD 1222 – Vaxzevria d’Astra Zeneca, mentionné ensuite, ainsi peut-être que Ad26.COV2.S – Jcovden de Janssen, qui a aussi été utilisé en Corée du Sud). Chez les vaccinés, un groupe de 1 067 688 personnes a reçu une troisième dose “booster”, dont la majorité un vaccin à ARNm.
Un “biais de temps immortel” dans les données
Science Feedback a contacté Dan Chaltiel, épidémiologiste et biostatisticien à l’Institut Gustave-Roussy et au Centre de recherche en épidémiologie et santé des populations (CESP), (Villejuif, près de Paris), pour lui proposer d’analyser la méthodologie de l’étude dans le détail. Il souligne un premier problème sérieux :

Dan Chaltiel
épidémiologiste et biostatisticien, Institut Gustave-Roussy – Centre de recherche en épidémiologie et santé des populations (CESP), Villejuif
“Dans l’étude, les vaccinés sont « indexés » à la date de leur dernière dose, les non-vaccinés à une date fixe (01/01/2022). L’étude commence au 01/01/2021. Un non-vacciné qui a un cancer en 2021 n’entre pas dans l’étude, alors qu’un vacciné qui a eu sa première dose en 2021 et un cancer juste après est compté comme un événement. On voit donc forcément moins d’événements chez les non-vaccinés. À lui seul, ce biais peut expliquer de tels résultats, sans besoin d’effet cancérigène du vaccin.”
Ce biais présent dans l’étude est connu en épidémiologie sous le nom de “biais de temps immortel”.
Un possible « biais de surveillance »
Pour que l’étude soit rigoureuse, il faut que les populations vaccinées et non-vaccinées soient comparables. L’épidémiologiste souligne un deuxième problème potentiel :

Dan Chaltiel
épidémiologiste et biostatisticien, Institut Gustave-Roussy – Centre de recherche en épidémiologie et santé des populations (CESP), Villejuif
“La population sélectionnée par les auteurs comporte au départ 7 700 000 vaccinés et seulement 680 000 non-vaccinés, soit 8% de non-vaccinés. On peut imaginer que cette population non-vaccinée soit très particulière, et que les variables disponibles dans leur base ne permettent pas de les rendre comparables aux vaccinés.
Par exemple, si les non-vaccinés sont très anti-médecine, comme c’est souvent le cas en Europe, ils consulteront moins de médecins, et auront donc moins de diagnostics de cancer. On aurait alors ce qu’on appelle un “biais de surveillance” : les non-vaccinés sont toujours moins diagnostiqués que les vaccinés (ou plus tard), même s’ils sont tout autant malades.”
Les auteurs de l’étude envisagent ce type de biais. Ils indiquent : “Concernant la surveillance, il pourrait exister des différences systématiques d’intensité de la surveillance médicale entre les deux groupes. Cependant, compte tenu du système de santé publique à guichet unique de la Corée du Sud et de sa grande accessibilité, les individus présentent généralement un taux uniformément élevé de consultations médicales, ce qui pourrait atténuer ces différences. De plus, la région étudiée (Séoul) est considérée comme l’une des plus accessibles médicalement, ce qui minimise encore davantage les inégalités spatiales et socio-économiques.” (traduit de l’anglais)
Ce “taux uniformément élevé de consultations médicales” repose cependant sur une supposition, et implique en effet que le comportement de la population soit homogène en matière de santé. Or les données de l’étude ne sont pas publiées. Nous avons donc contacté les auteurs pour leur demander si leur hypothèse était étayée par l’examen des données de santé utilisées (par exemple en comparant le nombre moyen de consultations médicales des groupes vaccinés et non-vaccinés) et mettrons à jour ce texte si besoin.
Un postulat de départ fragile :
Rappelons que le vaccin à ARNm contre le virus SARS-CoV2, largement employé pour vacciner les personnes de l’étude, permet la synthèse dans l’organisme d’une protéine du virus baptisée Spike, qui sera reconnue par le système immunitaire, lequel permettra alors à l’organisme de se protéger du virus.
Les auteurs indiquent qu’il existe des virus dont le caractère cancérogène est attesté, comme le papillomavirus (impliqué dans les cancers du col de l’utérus et de la zone ano-génitale) ou le virus d’Epstein-Barr (associé à des cancers du nasopharynx notamment).
Ces virus fabriquent eux aussi des protéines de type Spike. Partant de ce constat, une hypothèse, formulée dans un article de revue (qui est le seul cité par les auteurs sur ce sujet)[1], est que SARS CoV2 aurait ce potentiel cancérogène. Allant plus loin, les auteurs postulent que le vaccin lui-même aurait aussi ce potentiel. Cependant, ils admettent que “les données dans le monde réel sont insuffisantes”.
De nombreux travaux de recherche menés depuis 2020 explorent les différents effets du virus au niveau cellulaire et moléculaire. Ils ne permettent cependant pas à ce stade de conclure que le SARS-CoV-2 ou les vaccins qui en dérivent sont impliqués dans des mécanismes pouvant conduire au cancer. Des recherches supplémentaires sont nécessaires, notamment concernant l’effet des “covids longs”[2].
Enfin, le SARS-CoV2 s’est largement diffusé dans la population, qu’elle soit vaccinée ou pas. En Corée du sud notamment, les chiffres ne montrent aucune “flambée” de cancers qui débuterait en 2020 avec le virus puis s’accentuerait avec la vaccination en 2021[3].
Un an : une durée trop courte pour développer un cancer
Le temps nécessaire pour qu’un cancer se déclenche est variable. Mais à l’exception des cancers du sang (leucémie chez les enfants notamment – non inclus dans cette étude), le développement des autres cancers dits “solides” (qui touchent les tissus et organes), se fait sur le temps long, avec un temps de latence minimum compris entre 5 et 10 ans[4].
Malgré de très nombreuses affirmations sur les réseaux sociaux, et comme l’a déjà démontré Science Feedback sur la base de connaissances et travaux scientifiques fiables, il n’y a aucune preuve de l’existence de “turbo-cancers” qui surviendraient très rapidement après un événement comme la vaccination.
Les auteurs de l’étude admettent eux-mêmes, curieusement non pas dans le texte principal mais dans les documents annexes :
“Comme les tumeurs solides mettent plus d’un an à se développer, une période de suivi d’un an est relativement courte pour évaluer l’incidence du cancer, et la possibilité d’une causalité inverse ou d’un biais de surveillance ne peut être exclue.”
Cette “possibilité d’une causalité inverse” interroge. Au sens strict, elle se traduirait par le fait que “le cancer cause le vaccin”, ce qui est évidemment impossible. Il est en revanche envisageable qu’une personne déjà diagnostiquée d’un cancer ne pourrait pas recevoir le vaccin à cause de sa maladie, ce qui induirait moins de diagnostic après inclusion chez les non-vaccinés. Les auteurs ont toutefois prévu ce cas de figure en excluant les cas de cancer incident de leur étude.
D’autres problèmes méthodologiques
Pour réaliser l’étude, les auteurs ont utilisé un “modèle de Cox”, habituellement employé en statistique pour notamment comparer la survie de patients dans le temps selon différentes variables. Ce modèle permet de calculer un paramètre fondamental : le Hazard Ratio (en français “rapport des risques”, “HR” dans la figure 1A plus bas). Il permet d’évaluer l’effet des “covariables” (ici le vaccin) sur le risque de survenue d’un événement (le cancer). Lorsque le Hazard Ratio est égal à 1, cela signifie que la covariable n’a aucun effet sur le risque de survenue de l’événement. S’il est supérieur à 1, alors ce risque existe.
Pour avoir du sens et être interprétable, ce HR doit absolument être constant dans le temps.. Or ce n’est pas le cas dans cette étude, comme en atteste la figure 1B (voir plus bas), qui montre la progression dans le temps des cas de cancers (tous cancers confondus), sur un an, pour les vaccinés et non vaccinés. Les courbes divergent (HR >1) puis deviennent parallèles (HR = 1), ce qui signifie que le HR varie et que la valeur reportée n’est pas interprétable. Cela voudrait dire que le vaccin augmenterait le risque de cancer pendant 6 mois, puis que le risque redeviendrait normal, ce qui est difficile à imaginer biologiquement.
Enfin, en ce qui concerne le cas des personnes déjà vaccinées qui reçoivent ensuite un “booster” (troisième dose pour renforcer l’immunité), le nombre de tests statistiques effectués est si grand que la probabilité de “faux positifs” explose, ce qui rend les résultats très peu robustes. (lire Feedback du scientifique).
Des résultats biaisés et des conclusions DISCUTABLES
Tout ce qui précède explique les résultats obtenus par les auteurs, qui suggèrent de manière erronée qu’il existe un risque de cancer augmenté chez les personnes vaccinées par rapport aux personnes non-vaccinées :
- Thyroïde : + 35%
- Estomac : + 34%
- Colorectal : + 38%
- Poumon : + 53%
- Sein : + 20%
- Prostate : + 69%
De la même manière, pour l’effectif de 700 000 personnes déjà vaccinées deux fois, qui reçoivent ensuite un “booster” (troisième dose pour renforcer l’immunité), les auteurs concluent de manière erronée à un risque accru de cancer de l’estomac, du pancréas, et de leucémie.
Les résultats sont principalement présentés dans la Figure 1 de l’étude, dont la partie A ci-dessous est largement reprise sur les réseaux sociaux qui la présentent de manière trompeuse comme une relation de causalité entre vaccin et cancer.


Une seule étude ne suffirait pas pour démontrer une relation de causalité
Il faut noter que même s’ils supposent leurs résultats valides, les auteurs eux-mêmes restent prudents et parlent d’ “association” entre vaccin et cancer : ils constatent plus de cancers chez une certaine proportion des personnes vaccinées par rapport aux non-vaccinées, mais ne disent pas que le vaccin provoque le cancer.
En épidémiologie, la démonstration d’un lien de causalité est longue et difficile car on ne peut pas ici, au contraire des essais cliniques pour les nouveaux médicaments, faire une étude qui apporte un fort niveau de preuve, dite “randomisée en double aveugle” (on administre soit le médicament, soit un placebo par tirage au sort, et ni le médecin ni le patient ne sait qui reçoit quoi). Dan Chaltiel explique :

Dan Chaltiel
épidémiologiste et biostatisticien, Institut Gustave-Roussy – Centre de recherche en épidémiologie et santé des populations (CESP), Villejuif
“Si l’hypothèse de départ est raisonnable, qu’il n’y a pas de biais apparents, et que l’étude semble bien menée, alors on peut se dire qu’il y a un lien causal. On va alors faire d’autres études sur le sujet en faisant varier certains paramètres, et si on arrive à un consensus (du type tabac/cancer), le lien causal est établi. Dans le cas présent, l’hypothèse de départ ne tient pas biologiquement et il y a plusieurs biais problématiques. Si l’association que décrit cette étude est vraiment causale, ce serait uniquement le fruit du hasard, comme une pendule cassée peut donner la bonne heure”.
Conclusion :
L’étude sud-coréenne portant sur plusieurs millions de personnes a conclu à un risque accru de cancers chez les personnes vaccinées contre la COVID, comparées avec les personnes non-vaccinées.
Elle repose cependant sur le postulat que le virus SARS-CoV2 peut déclencher des cancers, ce qui n’est pas prouvé à ce jour. De plus, la durée d’un an post-vaccination considérée dans l’étude est trop courte pour qu’un cancer non-préexistant ait le temps de se développer chez les sujets étudiés.
L’étude comporte en outre plusieurs biais, notamment un “biais de temps immortel” causé par la prise en compte des vaccinés et non-vaccinés à des dates différentes, d’où le fait que moins de cancers sont détectés chez les non-vaccinés. Ainsi qu’un possible “biais de surveillance”, qui conduit à ce que les non-vaccinés soient moins dépistés pour le cancer que les vaccinés. Les données n’étant pas publiées, on ne peut conclure à ce stade. Enfin, les résultats sur l’effet des doses “booster” de vaccin sont peu robustes.
À cause de ces nombreux problèmes méthodologiques, l’étude ne permet pas de conclure à un lien de cause à effet entre vaccination anti-COVID et cancer.
La vaccination anti-COVID reste recommandée en particulier pour les personnes immunodéprimées ou atteintes d’un cancer.
Feedback du scientifique
épidémiologiste et biostatisticien, Institut Gustave-Roussy – Centre de recherche en épidémiologie et santé des populations (CESP), Villejuif
L’horizon temporel de cette étude est extrêmement limité ! Il faut en général au moins 5 à 6 ans de suivi pour détecter des événements liés au cancer, quand leur suivi semble ici limité à un an en moyenne. Le cancer est une maladie indolente qui met des années à se développer. Penser qu’une exposition puisse augmenter l’incidence aussi rapidement est une hypothèse très forte. Ou alors il s’agirait d’une « flambée » de cancers préexistants, mais cela ne semble pas être l’hypothèse des auteurs et la portée sur la santé n’est pas du tout la même.
La figure 1B de l’étude est très étrange : les courbes se séparent pendant 6 mois, puis sont parallèles. Or, le fait que ces courbes soient parallèles implique qu’il n’y a pas de sur-risque lié à la vaccination. Biologiquement, cela voudrait dire que l’effet cancérigène du vaccin se dissipe au bout de 6 mois, ce qui serait improbable.
On voit surtout ici le problème principal du modèle de Cox utilisé dans cette étude. Le sur-risque est modélisé par le Hazard ratio (HR), mais une hypothèse très importante est que ce HR doit être valable tout le temps. Sur la courbe, on voit que le HR est très fort (par exemple risque multiplié par 3 ou 4) pendant quelques mois, puis très faible (1 ou presque) après 6 mois. L’effet total, qui est une sorte de moyenne pondérée (pour simplifier), est mesuré à environ 1,3 sur la figure 1A.
Cela suggère des résultats complètement biaisés. Sur une courbe avec 5 à 6 ans de suivi, le « décrochage » initial entre les deux courbes compterait pour beaucoup moins, et le biais serait moins fort (HR global plus proche de 1).
Autre problème sérieux : dans l’étude, les vaccinés sont « indexés » à la date de leur dernière dose, les non-vaccinés à une date fixe (01/01/2022). L’étude commence au 01/01/2021. Un non-vacciné qui a un cancer en 2021 n’entre pas dans l’étude, alors qu’un vacciné qui a eu sa première dose en 2021 et un cancer juste après est compté comme un événement. On voit donc forcément moins d’événements chez les non-vaccinés. À lui seul, ce biais peut expliquer de tels résultats, sans besoin d’effet cancérigène du vaccin.”
Enfin, les résultats obtenus sur les patients ayant reçu un vaccin booster ne sont pas robustes du tout : ils font 30 tests statistiques, avec un taux de faux positifs fixé à 5%. Il n’y a aucune mention de correction des p-values [probabilité qu’il n’y ait pas de différence entre le groupe vacciné et non vacciné], donc si on fait le calcul (avec p=0.05, N=30, x=1 ou 3), il y avait 78% de chances d’avoir au moins un résultat significatif par hasard [et non pas attribuable au vaccin], 20% d’en avoir au moins trois…
Notez que les auteurs ne sont pas forcément de mauvaise foi. Il s’agit ici de biais méthodologiques assez difficiles à distinguer et à corriger sans la formation et l’expérience suffisante.
[NDLR : Cet effet, dit des « tests statistiques multiples », est très fréquent dans les études génétiques et épidémiologiques. Lorsque de nombreux tests statistiques sont effectués sur les mêmes données (30 tests représentent un nombre considérable), il est possible que certains d’entre eux donnent un résultat positif par simple hasard. Plus le nombre de tests effectués est élevé, plus le risque de faux positifs est élevé. C’est pourquoi les résultats de ces analyses doivent être corrigés.Cela consiste à calculer le taux de faux positifs attendu compte tenu du nombre de tests utilisés, et à ajuster les p-values en conséquence. Autrement dit, l’ajustement pour les tests multiples augmente le seuil à partir duquel la différence entre les populations étudiées (ici, vaccinées et non vaccinées) est considérée comme significative, et malheureusement, certains chercheurs l’ignorent.
Ne pas corriger pour les tests multiples peut entraîner des faux positifs et, par conséquent, des conclusions erronées. En règle générale, toute étude qui utilise de nombreux tests statistiques et combine les résultats positifs obtenus en une seule conclusion confirmative finale (dans notre cas, celle que les vaccins contre la COVID-19 sont associés à un risque plus élevé de cancer) doit corriger les tests multiples.]
Références :
- 1 – Jahankani et al. (2023) Possible cancer-causing capacity of COVID-19: Is SARS-CoV-2 an oncogenic agent ? Biochimie.
- 2 – Ogarek et al. (2023) SARS-CoV-2 infection as a potential risk factor for the development of cancer. Frontiers in molecular bioscience.
- 3 – Eun Hye Park et al. (2025) Cancer Statistics in Korea: Incidence, Mortality, Survival, and Prevalence in 2022. Cancer research and treatment.
- 4 – Little et al. (2024) Minimum latency effects for cancer associated with exposures to radiation or other carcinogens. British journal of cancer.
